02-05-2021, 05:11 PM
Hi there,
is it possible to calculate the value of the orientation on the path between two targets?
I have a start and goal target with known u, v, w (UR) values. Now i want to orient some targets on the linear movement to match the orientation that the tool of the robot would have on these positions.
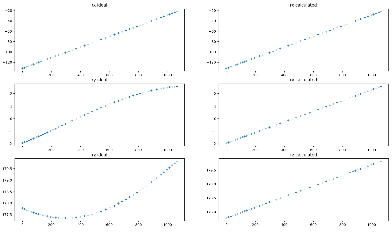
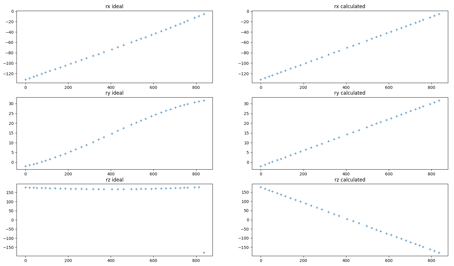
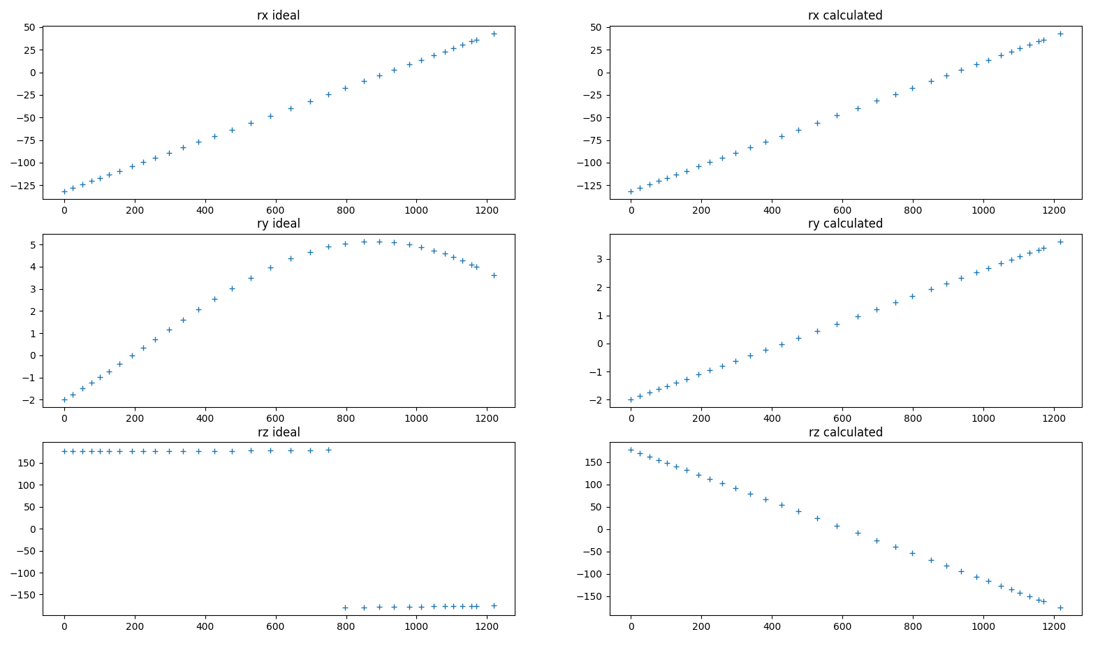
I tried to add the proportionate rotation to the start orientation based on the already driven distance. The result is a linear change of u, v and w. (This works fine for some cases)
Then I realised that some constellations result a change of sign. After testing lots of configurations I still don't know if and when this occurs.
To help explaining my question I attached some screenshots.
One shows the scene with the start and goal targets.
One shows how the targets should be oriented (this is how the tool would drive along the path)
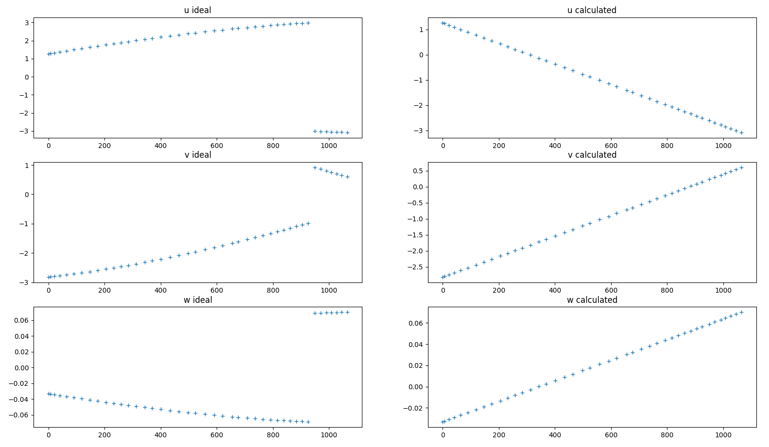
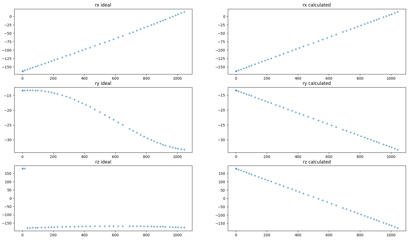
One shows the plot of the u, v and w values of the targets with the sign change and how my calculation would set the values.
Is there any way to predict if and when there is a sign change?
Hopefully I have managed to explain my question well.
is it possible to calculate the value of the orientation on the path between two targets?
I have a start and goal target with known u, v, w (UR) values. Now i want to orient some targets on the linear movement to match the orientation that the tool of the robot would have on these positions.
I tried to add the proportionate rotation to the start orientation based on the already driven distance. The result is a linear change of u, v and w. (This works fine for some cases)
Then I realised that some constellations result a change of sign. After testing lots of configurations I still don't know if and when this occurs.
To help explaining my question I attached some screenshots.
One shows the scene with the start and goal targets.
One shows how the targets should be oriented (this is how the tool would drive along the path)
One shows the plot of the u, v and w values of the targets with the sign change and how my calculation would set the values.
Is there any way to predict if and when there is a sign change?
Hopefully I have managed to explain my question well.
