Thread Rating:
  • 0 Vote(s) - 0 Average
  • 1
  • 2
  • 3
  • 4
  • 5

Solution to some parts detaching when moving them?

#1
Hello, 

I am new to RoboDK, when I import my robot and choose the type of it, insert all the lengths, certain parts when using the Joint axis jog will move but separately from the rest of the parts. 

Anybody experienced such problems?
#2
Hello mytrail,

Can you provide more details on the issues, like screenshot and the .rdk ?

Olivier
#3
(08-12-2021, 07:17 PM)Olivier Wrote: Hello mytrail,

Can you provide more details on the issues, like screenshot and the .rdk ?

Olivier

I could send you the rdk file via mail
#4
Did you watch these videos?
I'm touching on that issue in the second one:

https://youtu.be/-woD7T27hGQ
https://youtu.be/OSY_BGlUpFc

Jeremy
Find useful information about RoboDK and its features by visiting our Online Documentation and by watching tutorials on our Youtube Channel


#5
(08-13-2021, 02:34 PM)Jeremy Wrote: Did you watch these videos?
I'm touching on that issue in the second one:

https://youtu.be/-woD7T27hGQ
https://youtu.be/OSY_BGlUpFc

Jeremy
Thank you for those links, judging by what I saw it must be a measurement error that is causing some parts to detach.
#6
(08-13-2021, 02:34 PM)Jeremy Wrote: Did you watch these videos?
I'm touching on that issue in the second one:

https://youtu.be/-woD7T27hGQ
https://youtu.be/OSY_BGlUpFc

Jeremy

How accurate do the model measurements have to be? What is tolerated?
#7
There's no tolerance if you want it to properly rotate.
You need to precisely know the position of one joint axis with respect to the other.

If you can't send screenshots it will be hard for us to help you.

Jeremy
Find useful information about RoboDK and its features by visiting our Online Documentation and by watching tutorials on our Youtube Channel


#8
(08-17-2021, 11:10 AM)Jeremy Wrote: There's no tolerance if you want it to properly rotate.
You need to precisely know the position of one joint axis with respect to the other.

If you can't send screenshots it will be hard for us to help you.

Jeremy

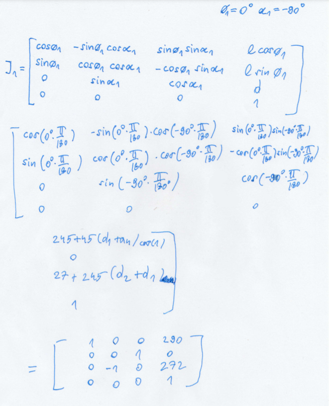
I did it and it now rotates fine and is controllable via the joint axis jog, my next question is why 4x4 matrix of reference position with respect to base gives me these output, I thought it would match these paper calculation I made 


Attached Files Thumbnail(s)
tt.PNG    hand12.PNG   
#9
(08-17-2021, 11:10 AM)Jeremy Wrote: There's no tolerance if you want it to properly rotate.
You need to precisely know the position of one joint axis with respect to the other.

If you can't send screenshots it will be hard for us to help you.

Jeremy

I solved the tolerance/measure problem, now everything rotates fine and is controllable via the joint axis jog.

However I took a look at the reference Frame of the tool with respect to the base and the 4x4 matrix is not the same as what I get when I calculate it. 

Now the 28.563 I can understand as it seems to be close to the d2 value I put of 27 mm

And 643.39 I dont know where that came from


Attached Files Thumbnail(s)
rob.png    24.PNG   
#10
Are you sure that you are comparing apples with apples here?
Is this really the position of the robot (in RDK) when the joints are all zeros?

Knowing if it's supposed to be 245 or 643 mm in Z should be easy by simply measuring the 3D model.

Just looking at it with the perspective and all, it seems to make sense that the TCP is as high (Z) as it's far (X) from the robot base.

Jeremy
Find useful information about RoboDK and its features by visiting our Online Documentation and by watching tutorials on our Youtube Channel


  




Users browsing this thread:
2 Guest(s)