01-23-2026, 07:59 PM
Hello!
I am attempting to update the modified DH parameters from a calibrated robot to our R30iB plus FANUC controller. I followed the directions found here https://robodk.com/doc/en/Robots-Fanuc-U...eters.html. I updated the joint values for "a" and "d" in the respective system variables as shown below:
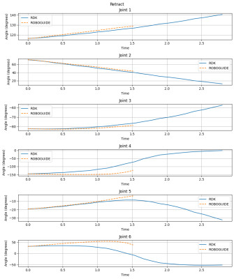
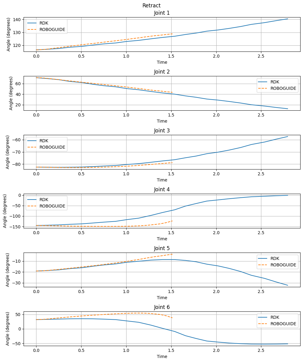
I was then noticing some very odd motion in some of the linear moves. Looking back at the instructions, it seems like I may be missing some offset and/or negative signs. It looks like there may be some pattern I am missing? The values in the example exported table don't quite align with what is on the teach pendant images. I've included screenshots of the images that I am referencing from the instructions below:
Looking for advice on how to proceed, thanks!
I am attempting to update the modified DH parameters from a calibrated robot to our R30iB plus FANUC controller. I followed the directions found here https://robodk.com/doc/en/Robots-Fanuc-U...eters.html. I updated the joint values for "a" and "d" in the respective system variables as shown below:
I was then noticing some very odd motion in some of the linear moves. Looking back at the instructions, it seems like I may be missing some offset and/or negative signs. It looks like there may be some pattern I am missing? The values in the example exported table don't quite align with what is on the teach pendant images. I've included screenshots of the images that I am referencing from the instructions below:
Looking for advice on how to proceed, thanks!

