11-04-2020, 03:57 PM
Hello,
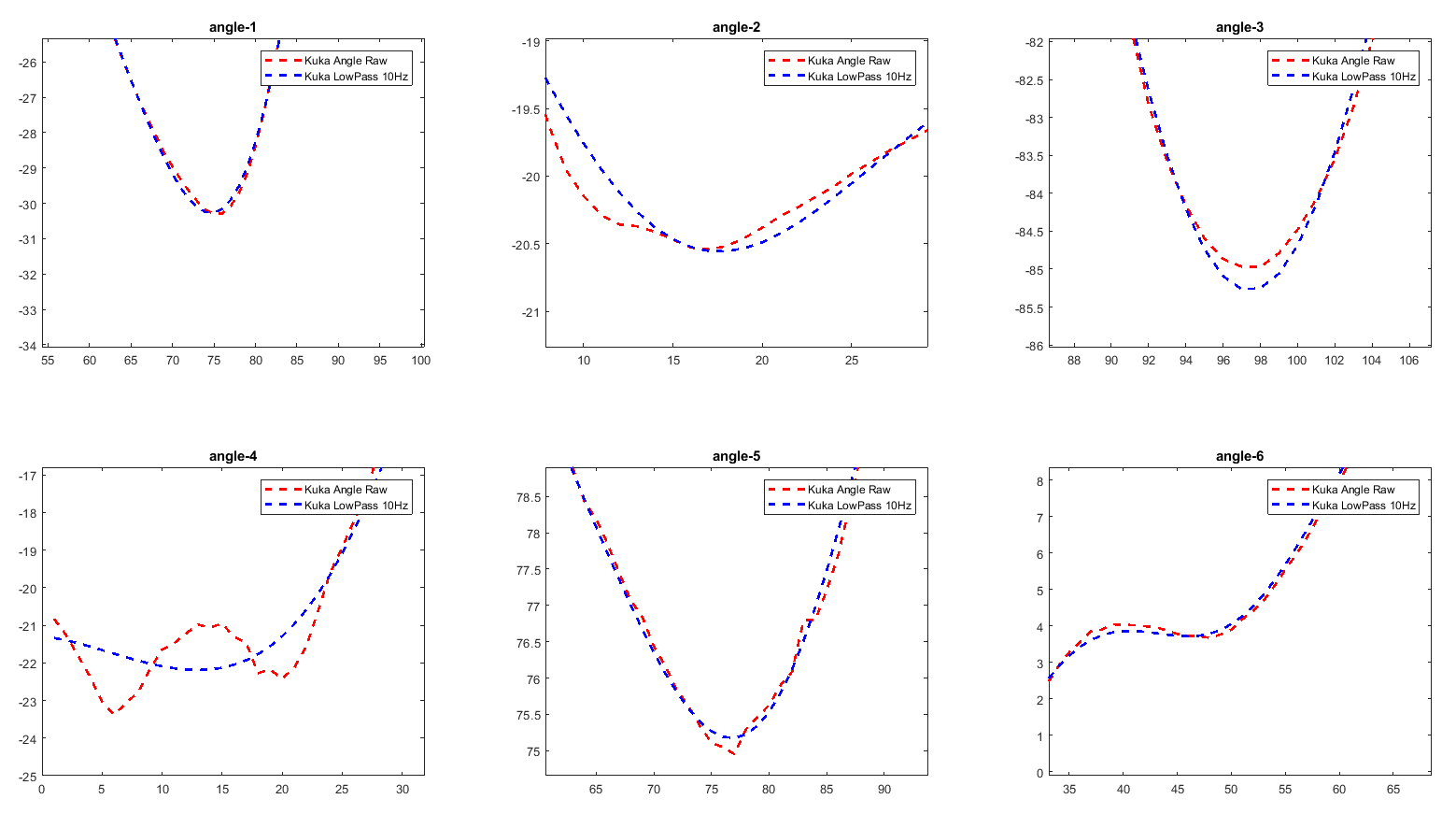
I have the problem that my calculated joint angles from RoboDK are not very smooth, causing the robot to shake and vibrate (with a high frequency) a lot while moving. You can see the planned joint angles in the plot:
On the right side you see the excat problem, the joint angles are not like a spline but more like measurement data. What is the problem with that? I was using PyhtonAPI and the point follow project to create my kuka program. Thanks in advance! Michael
I have the problem that my calculated joint angles from RoboDK are not very smooth, causing the robot to shake and vibrate (with a high frequency) a lot while moving. You can see the planned joint angles in the plot:
On the right side you see the excat problem, the joint angles are not like a spline but more like measurement data. What is the problem with that? I was using PyhtonAPI and the point follow project to create my kuka program. Thanks in advance! Michael

